2026 US뉴스 대학 순위 발표
UC계 막내 머시드 상승 지속
유대계 대학 14계단 오르기도
US뉴스&월드리포트의 ‘2026년 베스트칼리지’순위가 입시철을 앞두고 최근 공개됐다. 미국의 대학 순위는 언론기관인 US뉴스&월드리포트에 의해서 여러가지 자료를 근거로 종합 점수를 집계해 순위를 정하고 있다. 가장 오래되고 일반적으로 사용되는 순위여서 많은 대학 지원자들이 참고한다. US뉴스가 지난 23일 발표한 2025년 ‘미국 전국 대학’ 순위를 알아봤다.
US뉴스&월드리포트의 ‘2026년 베스트칼리지’순위가 입시철을 앞두고 최근 공개됐다. 미국의 대학 순위는 언론기관인 US뉴스&월드리포트에 의해서 여러가지 자료를 근거로 종합 점수를 집계해 순위를 정하고 있다. 가장 오래되고 일반적으로 사용되는 순위여서 많은 대학 지원자들이 참고한다. US뉴스가 지난 23일 발표한 2025년 ‘미국 전국 대학’ 순위를 알아봤다.
미국 대학 순위의 원조격인 US뉴스의 대학 순위는 올해 1700개 대학을 대상으로 최대 17개의 아카데믹한 정보를 정리해서 13개의 산정요소를 사용해 평가했다. 핵심 평가 방식과 가중치는 매년 유사하지만 특히 입학 고려 사항, 학생 집단의 대표성, 학생 참여도를 반영해 일부 자료가 조정됐다. 하지만 기본적인 순위는 역시 평판 점수의 영향력이 크다. 기존 방식에서 점차 객관적 자료 중심으로 이동 중이다.
일반적으로 아이비리그 8개 대학이 항상 정상에 있을 것으로 생각하지만 결과는 일반적인 예상과 다르다. 8개의 아이비리그 대학이 모두 정상에 있지도 않고 프린스턴이 하버드를 대신해 1위 자리를 차지한 지도 15년이나 됐다. 언론사가 집계하는 정보라서 대학 당국들도 공식적으로 나서서 순위를 부정하지 않고 있다. 대학들은 오히려 정보 수집에 협조적이고 높은 순위에 오를 수 있도록 온갖 배려를 아끼지 않고 있다. 원래 대학 순위의 시작은 입시생에게 지원할 대학을 쉽게 찾을 수 있도록 정보를 제공하는데 있었다.
US뉴스는 대학의 각각 성격과 특성을 무시할 수 없어서 대략 4가지의 카테고리로 순위를 작성한다. 우선, 전국적인 명성을 갖고 전국에서 지원하는 ‘종합 대학(National University)’, 대학원 과정보다는 학부 중심의 전국에서 지원하는 ‘리버럴 아츠 칼리지(Liberal Arts College)’, 지역 학생이 지원하는 종합 대학인 ‘리저널 대학(Regional University)’, 지역 학생이 지원하는 단과 대학인 ‘리저널 칼리지’로 구분한다.
올해 달라진 점
US뉴스는 고등교육의 투명성을 높이고 대학 지원자들과 가족들에게 유용한 정보를 제공하는데 목표를 두고 순위를 작성한다. 전체 평가의 50% 이상은 학생의 입학, 졸업, 졸업 후 성과에 관련된 결과 지표에 기반한다. 학생 1인당 지출은 학점 기준으로 계산돼 연간 학생 참여도를 반영한다. 졸업률 및 2학년 유지율 계산을 위한 최소학생수도 20명에서 25명으로 올렸다. 이외 STEM 및 직업 준비도 지표를 확대했다.
순위 변화
US뉴스의 전국대학(종합대학) 순위는 큰 변화가 없이 매우 안정적이다. 대학에서 나오는 정보가 크게 변하지 않기 때문이다. 올해도 상위 10개 대학은 약간의 변동을 제외하고는 상대적으로 비슷한 수준을 유지했다.
눈에 띄는 변화를 보자면, 지난해 10위 밖으로 밀려났던 시카고대가 5단계 도약해서 6위에 올랐는데 캘텍과 자리를 바꾼 것이다. 또한 지난해 공립대로서는 단독 1위에 올랐던 UCLA와 밀렸던 UC버클리가 자리를 맞바꿨다.(15위–〉17위) 이런 현상은 또 있다. 50위 권 밖으로 밀렸던 노스이스턴이 8단계(공동 46위)를 올랐고 바로 공동 46위였던 웨이크포리스트가 5단계 떨어져 51위가 됐다. 또한 유대계 대학인 예시바가 무려 14계단을 뛰어 84위에 올라 눈길을 끌었다.
한편 주립대학들의 순위 변화는 크지 않았다. 다만 일리노이주립 어바나샴페인(UIUC)가 3단계 미끄러졌고 미네소타주립 트윈시티즈가 5단계, 노스 캐럴라이나 스테이트, 매사추세츠주립 애머스트가 6단계 하락이 있었다.
2026년 순위
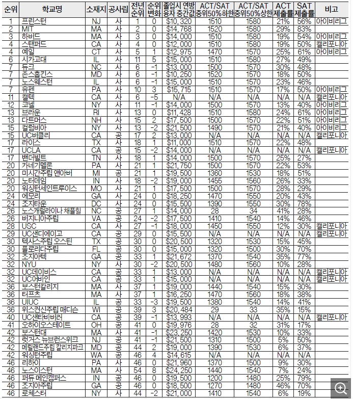
프린스턴대가 15년 연속으로 전국대학 순위1위의 자리를 차지했다. 또 MIT, 하버드, 스탠퍼드가 지난해와 같이 2~4위를 유지했다. 지난해 스탠퍼드와 공동 4였던 예일은 올해도 공동4위를 유지했다. 하지만 아이비리그 대학들이 상위권에서 유명세를 떨쳤다. HYP 이외의 나머지 5개 대학도 유펜(7위), 코넬(12), 브라운, 다트머스(공동13), 컬럼비아(15) 순으로 상위권에 자리했다.
텍사스 명문 라이스와 테네시의 명문 밴더빌트가 UCLA와 공동으로 17위를 차지했고 카네기멜론, 미시간주립 앤아버, 워싱턴대 세인트루이스, 노터데임이 공동 20위, 에모리, 조지타운이 공동 24위, 노스캐럴라이나 주립 채플힐, 버지니아주립이 공동 26위, USC가 28위, UC샌디에이고가 29위를 차지하는 등 16~30위권도 매우 치열한 경쟁을 보여줬다.
캘리포니아 주민들의 버팀목인 UC의 순위는 버클리가 컬럼비아와 공동으로 15위에 올라 전년도까지 8년째 공립대 순위 1위를 유지했던 UCLA(공동17위)를 제압하고 단독1위로 복귀했다. UCLA는 이전까지 공동 1위였던 UC버클리를 제치고 지난해 단독1위에 올랐었다.
캘리포니아 소재 대학을 따로 정리해보면, 스탠퍼드(4위), 캘텍(11), UC버클리(15), UCLA(17), USC(28), UC샌디에이고(29)에 이어서 UC데이비스와 UC어바인이 공동 32위를 차지했다. 이들 뒤를 UC샌타바버러(40), UC머시드(57), UC리버사이드(75), 페퍼다인(84), UC샌타크루즈(88)가 자리했다. 특히 막내격인 머시드는 올해도 한 단계 오르는 등 상승세를 지속하고 있는데 반해 UC샌타크루즈는 올해도 4단계 하락해 88위로 내려 앉아 얼굴을 구겼다.
이날 함께 발표된 리버럴 아츠 칼리지 대학 순위에서는 부동의 1, 2위인 윌리엄스, 애머스트에 이어서 전년도에 4위로 밀려났던 해사가 3위로 복귀했고 8위였던 공사가 5위로 도약했다.
한편 ‘가장 혁신적인 종합대학’ 순위에서는 애리조나 스테이트가 1위를 차지했고 MIT( 2위), 조지아텍(3), 카네기멜론 (4), 노스이스턴( 5)이 자리했다. 사회 계층 향상에 기여하는 공립 대학들로 구성된 ‘소셜 모빌리티’ 순위에는 플로리다 인터내셔널 대학과 UC리버사이드가 공동1위를, 캘스테이트 롱비치, UC머시드가 공동3위, 럿거스 뉴왁이 5위를 차지하는 영광을 안았다.
[뉴욕 중앙일보]
프린스턴, 15년 연속 대학랭킹 1위
MIT·하버드·스탠퍼드 뒤이어
코넬 12위, 컬럼비아 15위 등
US뉴스&월드리포트가 2026 전국 대학 순위를 발표한 가운데, 프린스턴대학교가 15년 연속 랭킹 1위에 올랐다.
연구중심대학이자 큰 규모의 대학원을 가진 ‘내셔널 유니버시티’ 상위권 랭킹에 큰 이변은 없었다. 지난해와 마찬가지로 프린스턴대학교에 이어 매사추세츠공과대학(MIT)이 2위, 하버드대가 3위, 스탠퍼드대가 4위, 예일대가 5위를 차지했다.
다만 지난해 11위를 차지했던 시카고대학교가 6위를 차지했고, 공동 6위를 차지했던 듀크·존스홉킨스·노스웨스턴대학교는 7위로 밀려났다.
상위 10위권에 새로 진입한 학교는 없었으나, 캘리포니아공대(CIT)는 10위권에서 탈락한 유일한 학교였다. 지난해 CIT는 공동 6위에 올랐으나 올해 11위로 떨어졌다.
뉴욕에서는 코넬대가 12위, 컬럼비아대가 15위, NYU가 32위, 로체스터대가 46위, 스토니브룩대가 59위에 올랐다.
뉴저지에서는 프린스턴대 외에 럿거스대 뉴브런즈윅 캠퍼스가 42위, 럿거스대 뉴왁캠퍼스가 75위를 차지하는 등 순위권에 올랐다.
공립대 부문에서는 UC버클리가 1위(전국 15위), UCLA가 2위(전국 17위)에 올랐다. 이는 작년과 뒤바뀐 순위다.
US뉴스&월드리포트는 전국 약 1500개 대학을 대상으로 17가지 평가 항목을 통해 매년 대학 순위를 정하고 있다.
순위는 ▶SAT 점수 ▶졸업률 ▶펠그랜트 보조금 수혜 학생 비율 ▶펠그랜트 보조금 수혜 학생 성적 ▶학생들의 학자금 대출액 ▶학생 대 직원 비율 등을 종합해 평가된다.
자세한 지역별 순위는 US뉴스&월드리포트 웹사이트(www.usnews.com)에서 확인 가능하다.
윤지혜 기자 yoon.jihye@koreadailyny.com
[애틀랜타 중앙일보]
조지아 최고 랭킹 대학은 ‘에모리’
에모리 24·조지아텍 32·UGA 46위
스펠먼 칼리지는 최고 흑인 명문
조지아주에서 에모리대학, 조지아텍, 조지아대학(UGA) 등 3곳이 전국 대학 랭킹 100위권에 포함됐다.
US 뉴스&월드 리포트가 22일 발표한 전국 최고 대학 순위에 따르면 에모리대는 지난해와 동일한 24위, 조지아텍은 한 단계 상승한 32위, UGA는 변동없이 46위를 지켰다. 이밖에 머서대학(169위), 조지아주립대(198위), 어거스타대학(273위) 등이 순위에 올랐다.
아울러 리버럴 아츠 칼리지 부문에서는 흑인 여성 사립대학인 스펠먼 칼리지가 37위에 올랐다. 또 다른 여성 사립대학인 아그네스 스콧 칼리지는 67위를, 흑인 남성 사립대학인 모어하우스 칼리지는 95위, 오글소프대학은 156위에 올랐다. 특히 스펠먼대학은 전국 최고의 역사적인 흑인대학(HBCU)으로 꼽혔다.
전국 1위는 올해도 프린스턴대학이 차지했다. 또 상위 5위권에는 MIT, 하버드대학, 스탠퍼드대학, 예일대학 등이 선정됐다. 칼텍, 듀크대학, 존스홉킨스대학, 노스웨스턴대학은 공동 6위를 차지했으며, 7위에는 펜실베이니아대학이 이름을 올렸다.
US 뉴스는 전국 1700개 이상의 대학을 대상으로 최대 17개 항목에 걸쳐 학문적 수준과 졸업 후 성취도를 측정, 대학 순위를 매긴다.
순위 평가에는 학자금 빚 규모도 포함된다. UGA와 에모리대의 평균 졸업생 부채는 1만9000달러 이하인 반면 조지아텍 졸업생은 2만1000달러 이상인 것으로 집계됐다.
김지민 기자
[시카고 중앙일보]
시카고•노스웨스턴대, 나란히 6-7위 올라
어바나샴페인 일리노이대 36위
U.S. 뉴스&월드리포트(U.S. News & World Report)가 발표한 2026년 전국 대학 순위에서 일리노이 주의 4개 대학이 전국 100위권에 포함됐다.
이 가운데 시카고대학과 노스웨스턴대학은 Top 10에 나란히 이름을 올렸다.
시카고 남부 하이드 파크 소재 시카고대학은 전체 6위에 올랐다. 시카고대는 지난 해 11위서 5계단을 뛰어올랐다. 시카고 북 서버브 에반스톤 소재 노스웨스턴대학은 듀크대, 존스 홉킨스대, 펜실베이니아대와 함께 공동 7위에 자리했다.
이외에도 어바나-샴페인 일리노이대학(UIUC)이 36위, 시카고 일리노이대학(UIC)이 84위로 각각 평가됐다.
이번 순위는 미국 전역의 400여 개 대학을 대상으로 졸업률, 신입생 유지율, 학자금 대출 규모, 학생-교수 비율 등 총 17개 항목을 종합해 매겨졌다.
U.S. 뉴스&월드리포트측은 올해는 기존 평가 방식의 큰 틀을 유지하면서도, 학생 학점 이수 현황이나 최소 집단 규모 기준 등을 일부 조정해 변화하는 고등교육 환경을 반영했다고 밝혔다.
이번 조사에 따르면 2026년 미국 최고 대학의 영예는 프린스턴대가 차지했다. 프린스턴대는 15년 연속 종합대학 순위 1위를 지켰다.
이어 매사추세츠 공과대(MIT), 하버드대, 스탠퍼드대, 예일대, 시카고대, 듀크대, 존스 홉킨스대, 노스웨스턴대, 펜실베이니아대 등이 차레로 2위부터 10위를 차지했다.
한편, 이번 발표에서는 전국 순위 외에도 지역별 대학 및 단과대학 순위도 공개됐다.
중서부 지역 대학 중에서는 인디애나 주의 버틀러대, 오하이오 주의 존 캐럴대, 위스콘신의 밀워키 공과대, 미시간 주의 캘빈대, 아이오와 주의 도르트대가 상위권을 차지했다.
지역 단과대학으로는 오하이오 노던대, 일리노이 웨슬리언대, 미주리의 칼리지 오브 더 오자크스, 인디애나의 테일러대, 아이오와의 심프슨칼리지가 각각 높은 평가를 받았다.
리버럴 아츠 칼리지 순위서는 윌리엄스와 에머스트가 지난해에 이어 나란히 1, 2위를 기록했다.
Kevin Rho 기자




![[마감임박: 2자리] 중앙일보 제5기 AI·데이터 분석 캠프 & 인턴십](https://edubridgeplus.com/wp-content/uploads/2026/04/KakaoTalk_20260407_145550605-218x150.png)
![[US뉴스 선정 의대 순위] 미래여는 ‘연구형’ · 생명지키는 ‘진료형’ 나눠](https://i1.wp.com/www.koreadaily.com/resources/usa/image_editor/2026/05/10/ed9427fc-3224-481a-ba51-cdd331b86a2f.jpg?w=218&resize=218,150&ssl=1)
![[JSR] Uni High Students Teach Local Elementary School (05/14/2026)](https://edubridgeplus.com/wp-content/uploads/2026/05/image-20-100x70.png)
![[JSR] VEX Worlds: Inside a Champion’s Experience (05/07/2026)](https://edubridgeplus.com/wp-content/uploads/2026/05/image-12-100x70.png)